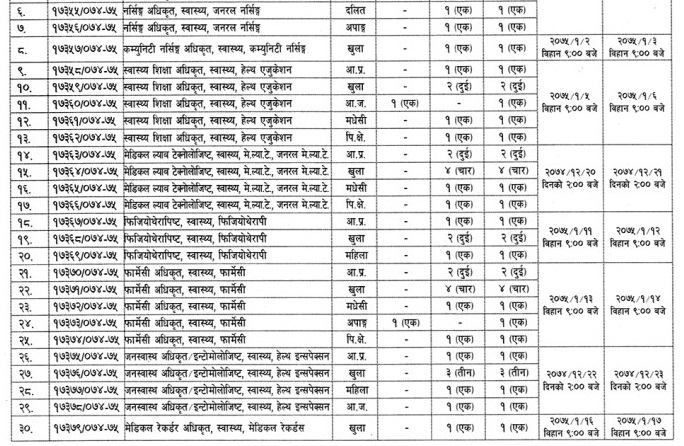
लोकसेवाद्धारा चिकित्सक, नर्स, फार्मेसी, ल्वाव आयुर्वेद, स्वास्थ्य शिक्षा तर्फ विभिन्न पदमा दरखास्त आवहान
काठमाडौँ, २९ कात्तिक । लोक सेवा आयोगले स्वास्थ्य सेवा तर्फ सातौँ तथा आठौँ तहमा समावेशी खुल्ला प्रक्रिया तथा आन्तरिक रुपमा कार्य सम्पादन मूल्यांकनको आधारमा पदपूर्ति गर्न दरखास्त आवहान गरेको छ ।
आयोगले आज प्रकाशित सूचनामा केही परिमार्जन गरेको समेत जनाएको छ । सूचनामा मेडिकल अधिकृत, नर्सिङ, अधिकृत आयुर्वेदिक चिकित्सक, डेन्टल चिकित्सक, स्वास्थ्य शिक्षा अधिकृत, फार्मेसी अधिकृत, मेडिकल ल्यावटेक्नोलोजिष्ट लगायतका पदहरुमा दरखास्त मागिएको छ ।
थप जानकारीका लागि हेरौँ सूचना





समाचार / स्वास्थ्य सामाग्री पढनु भएकोमा धन्यवाद । दोहरो संम्वाद को लागी मेल गर्न सक्नु हुन्छ ।
सम्पर्क इमेल : [email protected]
सम्पर्क इमेल : [email protected]




नेपाली हेल्थ 

